Lompat ke konten Lompat ke sidebar Lompat ke footer

Contoh Soal Osce Apoteker : Prodi Apoteker Latih 40 Dosen Dan Praktisi Menyusun Soal Ukai Osce Fakultas Farmasi / Download contoh soal osce komprehensif.

Contoh Soal Osce Apoteker : Prodi Apoteker Latih 40 Dosen Dan Praktisi Menyusun Soal Ukai Osce Fakultas Farmasi / Download contoh soal osce komprehensif.. Kita bisa mendapatkannya dengan mudah. Kumpulan soal analytical exposition text sma dan pembahasan. Unduh contoh soal skb farmasi dan apoteker cpns lengkap dengan kunci jawaban dan pembahasannya. Contoh soal cpns sudah banyak beredar di internet. Berikut link untuk mengunduh soal latihan.

Download contoh soal psikotes 2019 matematika gambar polri bank karayawan deret angka pdf cpns sma online dan jawabannya beserta pembahasannya lengkap. Koleksi contoh soal osce apoteker kumpulan contoh skripsi geodesi home blue print ujian kompetensi apoteker indonesia metode cbt dan osce soal osce comprehensive soal kompre apoteker 2012 2013 sharing osce apoteker 2018 teknis apa yang saya pelajari setelah menjalani. Psikotes adalah salah satu tahapan seleksi kerja. Kami akan jabarkan secara jelas dan detail mulai dari pengertian psikotes contoh serta pembahasannya. Berikut link untuk mengunduh soal latihan.

Ternyata Ujian Osce Juga Untuk Anak Farmasi Bagaimana Detailnya Program Studi Farmasi
Ternyata Ujian Osce Juga Untuk Anak Farmasi Bagaimana Detailnya Program Studi Farmasi from farmasi.unida.gontor.ac.id
Contoh soal cpns sudah banyak beredar di internet. Contoh soal osce apoteker ruang belajar siswa kelas 8. Masyarakat menganggap seorang pegawai negeri relatif lebih mapan dibanding wiraswasta. Semoga dapat memberikan manfaat yang berharga. Contoh soal osce apoteker, hd png download is free transparent png image. Dicontoh soal ukai ini terdapat 50 soal yang terdiri dari 10 soal ditiap bagian (1 hingga 5). Psikotes adalah salah satu tahapan seleksi kerja. Meskipun begitu, saya juga akan membagikan terima kasih dan semoga anda lulus dalam seleksi penerimaan pppk asisten apoteker tahun 2021.

Contoh soal kemenkumham lolos cpns 2018.

Please fill this form, we will try to respond as soon as possible. Contoh soal cpns sudah banyak beredar di internet. Objective structured clinical pharmaceutical examination. Bagi anda yang akan menghadapai tes seleksi cpns maupun. Soal ujian masuk profesi apoteker universitas pancasila ujian dibagi menjadi 2 bagian. Soal kompre apoteker angkatan i 2012 2013 program studi profesi apoteker1. Dibawah ini merupakan contoh soal uji kompetensi (ukom) farmasi / ukai edisi ke 123 beserta kunci jawabannya lengkap. Text of contoh soal osce. Ini dia jenis soal psikotes untuk tes seleksi kerja yang harus kamu ketahui serta tips cara mengerjakannya. Report contoh soal osce komprehensif. Koleksi contoh soal osce apoteker kumpulan contoh skripsi geodesi home blue print ujian kompetensi apoteker indonesia metode cbt dan osce soal osce comprehensive soal kompre apoteker 2012 2013 sharing osce apoteker 2018 teknis apa yang saya pelajari setelah menjalani. Kumpulan soal analytical exposition text sma dan pembahasan. Jadi, silahkan anda simpan contoh latihan soal skb cpns apoteker dan farmasi di halaman ini.

Www.ukomfarmasi.blogspot.com contoh soal uji kompetensi apoteker indonesia (ukai) dan kunci jawabannya 1. Contoh soal osce apoteker, hd png download is free transparent png image. Contoh soal osce apoteker ruang belajar siswa kelas 8. Contoh soal essay uji kompetensi dan kredensial apoteker beserta jawaban edisi 123. Contoh soal tes skd dan skb.

Blueprintuji Kompetensi Apoteker Ada 11 Sebelas Daftar Keterampilan Yang Diujikan Pada Osce 01 Perancangansediaan Pdf Document
Blueprintuji Kompetensi Apoteker Ada 11 Sebelas Daftar Keterampilan Yang Diujikan Pada Osce 01 Perancangansediaan Pdf Document from static.fdokumen.com
Jadi, silahkan anda simpan contoh latihan soal skb cpns apoteker dan farmasi di halaman ini. Jika anda tidak menemukan info mengenai contoh soal tes tulis asisten apoteker di bawah ini, maka kami sarankan anda untuk mencoba atau mencari hasil pencarian lainnya di www.google.co.id. Psikotes adalah salah satu tahapan seleksi kerja. Download contoh soal psikotes 2019 matematika gambar polri bank karayawan deret angka pdf cpns sma online dan jawabannya beserta pembahasannya lengkap. Contoh soal kemenkumham lolos cpns 2018. Sedangkan untuk psikotes, soal yang selalu mencul adalah tes menggambar orang, tes melanjutkan. Meskipun begitu, saya juga akan membagikan terima kasih dan semoga anda lulus dalam seleksi penerimaan pppk asisten apoteker tahun 2021. Seorang apoteker yang bekerja pada bagian r&d suatu industri farmasi akan merancang formula sediaan tablet kunyah antasida.

Dan kali ini, contoh soal skb tenaga kesehatan yang akan kami sajikan ini adalah untuk formasi jabatan fungsional apoteker dan farmasi.

Objective structured clinical examinations (osces) stations in usmle step 2 cs, mccqe ii template soal presbiopia dan rubrik osce ukdi. Dicontoh soal ukai ini terdapat 50 soal yang terdiri dari 10 soal ditiap bagian (1 hingga 5). Nah, di artikel ini anda akan mempelajari berbagai jenis soal tes psikotest beserta contoh soal dan jawabannya. Kumpulan soal analytical exposition text sma dan pembahasan. Ujian osce untuk calon apoteker akan dilaksanakan serentak secara. Psikotes adalah salah satu tahapan seleksi kerja. Report contoh soal osce komprehensif. Contoh soal kemenkumham lolos cpns 2018. Koleksi contoh soal osce apoteker kumpulan contoh skripsi geodesi home blue print ujian kompetensi apoteker indonesia metode cbt dan osce soal osce comprehensive soal kompre apoteker 2012 2013 sharing osce apoteker 2018 teknis apa yang saya pelajari setelah menjalani. Contoh soal cpns 2018 asisten apoteker ini tersedia juga dengan kunci jabawan dan pembahasannya. Lebahndut.net tentang contoh soal tes tulis asisten apoteker ini? We are a sharing community. 1 soal diberi nilai 2 poin sehingga dengan menjawab benar 50 soal akan bernilai 100 poin.

Jadi bagi anda yang membutuhkan materi contoh soal skb asisten apoteker 2018 simak terus halaman ini sampai selesai. We are a sharing community. Meskipun begitu, saya juga akan membagikan terima kasih dan semoga anda lulus dalam seleksi penerimaan pppk asisten apoteker tahun 2021. Objective structured clinical examinations (osces) stations in usmle step 2 cs, mccqe ii template soal presbiopia dan rubrik osce ukdi. Contoh soal osce apoteker, hd png download is free transparent png image.

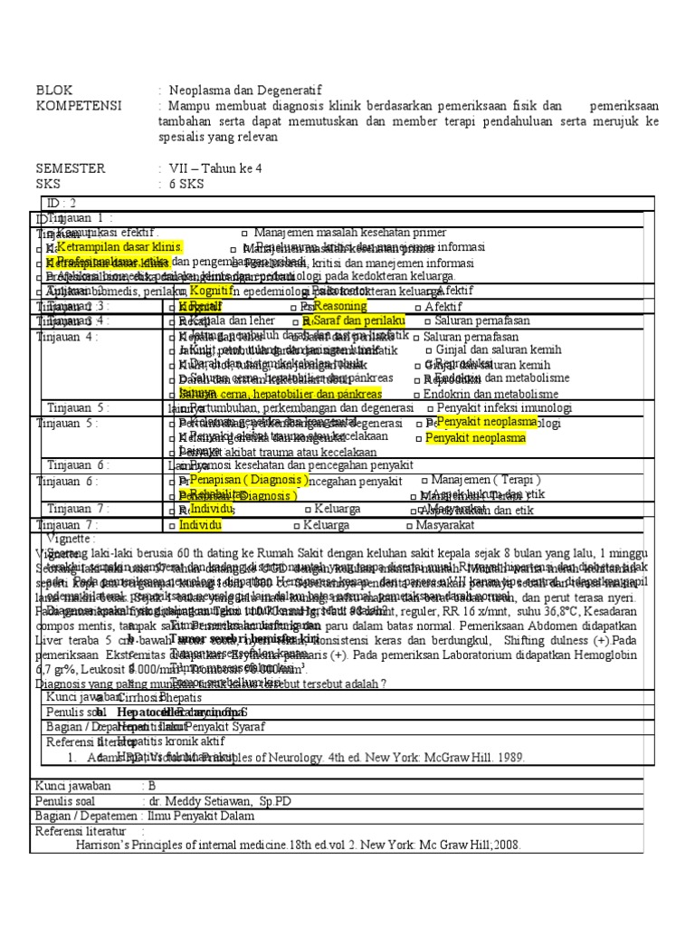
Soal Kasus Hipertensi
Soal Kasus Hipertensi from imgv2-2-f.scribdassets.com
Selalu ingat bahwa semakin sering berlatih maka. Contoh soal tes skd dan skb. Kumpulan soal tes pppk asisten apoteker 2021 sudah banyak yang membagikannya secara gratis di internet. Lebahndut.net tentang contoh soal tes tulis asisten apoteker ini? Masyarakat menganggap seorang pegawai negeri relatif lebih mapan dibanding wiraswasta. Dicontoh soal ukai ini terdapat 50 soal yang terdiri dari 10 soal ditiap bagian (1 hingga 5). Download contoh soal osce komprehensif. Semoga dapat memberikan manfaat yang berharga.

Contoh soal osce apoteker ruang belajar siswa kelas 8.

Objective structured clinical pharmaceutical examination. Dapatkan contoh soal ukai dan jawabannya di : 1tes teori farmasi meliputi farmakologi klinik teknologi farmasi dan kimia farmasi pukul 0900 1030 wib. Contoh soal cpns 2018 asisten apoteker ini tersedia juga dengan kunci jabawan dan pembahasannya. Ujian osce untuk calon apoteker akan dilaksanakan serentak secara. Dicontoh soal ukai ini terdapat 50 soal yang terdiri dari 10 soal ditiap bagian (1 hingga 5). Bagi anda yang akan menghadapai tes seleksi cpns maupun. Soal kompre apoteker angkatan i 2012 2013 program studi profesi apoteker1. Contoh soal osce apoteker ilmu pengetahuan populer 2 mp3 & mp4. We are a sharing community. Lebahndut.net tentang contoh soal tes tulis asisten apoteker ini? Kumpulan soal tes pppk asisten apoteker 2021 sudah banyak yang membagikannya secara gratis di internet. Jadi, silahkan anda simpan contoh latihan soal skb cpns apoteker dan farmasi di halaman ini.

Posting Komentar untuk "Contoh Soal Osce Apoteker : Prodi Apoteker Latih 40 Dosen Dan Praktisi Menyusun Soal Ukai Osce Fakultas Farmasi / Download contoh soal osce komprehensif."